A93236.「NOI2007」追捕盗贼
NOI/NOI+/CTSC
通过率:0%
时间限制:1.00s
内存限制:256MB
题目描述
魔法国度 Magic Land 里最近出现了一个大盗 Frank ,他在 Magic Land 四处作案,专门窃取政府机关的机密文件(因而有人怀疑 Frank 是敌国派来的间谍)。
为了捉住 Frank,Magic Land 的安全局重拳出击!
Magic Land 由 N 个城市组成,并且这 N 个城市又由恰好 N−1 条公路彼此连接起来,使得任意两个城市间都可以通过若干条公路互达。从数据结构的角度我们也可以说,这 N 个城市和 N−1 条公路形成了一棵树。
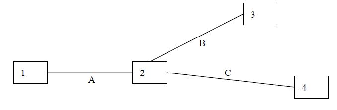
例如,下图就是 Magic Land 的一个可能格局( 4 个城市用数字编号, 3 条公路用字母编号):

大盗 Frank 能够在公路上以任意速度移动。
比方说,对于上图给出的格局,在 0.00001 秒钟内(或者任意短的一段时间内), Frank 就可以从城市 1 经过城市 2 到达城市 4 ,中间经过了两条公路。
想要生擒 Frank 困难重重,所以安全局派出了经验丰富的警探,这些警探具有非凡的追捕才能:
- 只要有警探和 Frank 同处一个城市,那么就能够立刻察觉到 Frank,并且将其逮捕。
- 虽然 Frank 可以在公路上以任意快的速度移动,但是如果有警探和 Frank 在同一条公路上相遇,那么警探也可以立刻察觉到 Frank 并将其逮捕。
安全局完全不知道 Frank 躲在哪个城市,或者正在哪条公路上移动,所以需要制定一个周密的抓捕计划,计划由若干步骤组成。在每一步中,可以做如下几件事中的一个:
- 在某个城市空降一位警探。警探可以直接从指挥部空降到 Magic Land 的任意一个城市里。此操作记为
L x,表示在编号为 x 的城市里空降一位警探。耗时 1 秒。 - 把留在某个城市里的一位警探直接召回指挥部。以备在以后的步骤中再度空降到某个城市里。此操作记为
B x。表示把编号为 x 的城市里的一位警探召回指挥部。耗时 1 秒。
- 让待在城市 x 的一位警探沿着公路移动到城市 y ,此操作记为
M x y。耗时 1 秒。当然,前提是城市 x 和城市 y 之间有公路。如果在警探移动的过程中,大盗 Frank 也在同一条公路上,那么警探就抓捕到了 Frank 。
现在,由你来制定一套追捕计划,也就是给出若干个步骤,需要保证:无论大盗 Frank 一开始躲在哪儿,也无论 Frank 在整个过程中如何狡猾地移动(Frank 大盗可能会窃取到追捕行动的计划书,所以他一定会想尽办法逃避),他一定会被缉拿归案。
希望参与的警探越少越好,因为经验丰富的警探毕竟不多。
例如对于前面所给的那个图示格局,一个可行的计划如下:
L 2在城市 2 空降一位警探。注意这一步完成之后,城市 2 里不会有 Frank,否则他将被捉住。L 2再在城市 2 空降一位警探。M 2 1让城市 2 的一位警探移动到城市 1 。注意城市 2 里还留有另一位警探。这一步完成之后,城市 1 里不会有 Frank ,公路 A 上也不会有 Frank 。也就是说,假如 Frank 还没有被逮捕,那么他只能是在城市 3 或城市 4 里,或者公路 B 或公路 C 上。B 1召回城市 1 的一位警探。注意虽然召回了这位警探,但是由于我们始终留了一位警探在城市 2 把守,所以 Frank 仍然不可能跑到城市 1 或者是公路 A 上。L 3在城市 3 空降一位警探。注意这一步可以空降在此之前被召回的那位警探。这一步完成之后,城市 3 里不会有 Frank ,否则他会被捉住。M 3 2让城市 3 里的一位警探移动到城市 2 。这一步完成之后,如果 Frank 还没有被捉住,那他只能是在公路 C 上或者城市 4 里。注意这一步之后,城市 2 里有两位警探。M 2 4让城市 2 里的一位警探移动到城市 4 。这一步完成之后,Frank 一定会被捉住,除非他根本就没来 Magic Land 。
这个计划总共需要 2 位警探的参与。可以证明:如果自始至终只有 1 名或者更少的警探参与,则 Frank 就会逍遥法外。
你的任务很简单:对于一个输入的 Magic Land 的格局,计算 S ,也就是为了追捕 Frank 至少需要投入多少位警探,并且给出相应的追捕计划步骤。
输入格式
输入给出了 Magic Land 的格局。
第一行一个整数 N,代表有 N 个城市,城市的编号是 1,2,…,N 。
接下来 N−1 行,每行有两个用空格分开的整数 xi,yi,代表城市 xi,yi 之间有公路相连。保证 1⩽xi,yi⩽N 。
输出格式
输出你所给出的追捕计划。
第一行请输出一个整数 S ,代表追捕计划需要多少位警探。
第二行请输出一个整数 T ,代表追捕计划总共有多少步。
接下来请输出 T 行,依次描述了追捕计划的每一步。每行必须是以下三种形式之一:
L x,其中L是大写字母,接着是一个空格,再接着是整数 x ,代表在城市 x 空降一位警探。你必须保证 1≤x≤N 。B x,其中B是大写字母,接着是一个空格,再接着是整数 x ,代表召回城市 x 的一位警探。你必须保证 1≤x≤N ,且你的计划执行到这一步之前,城市 x 里面确实至少有一位警探。M x y,其中M是大写字母,接着是一个空格,再接着是整数 x ,再跟一个空格,最后一个是整数 y 。代表让城市 x 的一位警探沿着公路移动到城市 y 。你必须保证 1≤x,y≤N ,且你的计划执行到这一步之前,城市 x 里面确实至少有一位警探,且城市 x,y 之前确实有公路。
必须保证输出的 S 确实等于追捕计划中所需要的警探数目。
输入输出样例
输入#1
4 1 2 3 2 2 4
输出#1
2 7 L 2 L 2 M 2 1 B 1 L 3 M 3 2 M 2 4
说明/提示
数据规模和约定
输入保证描述了一棵连通的 N 结点树, 1≤N≤1000 。
评分标准
对于任何一个测试点:
如果输出的追捕计划不合法,或者整个追捕计划的步骤数 T 超过了 20000 ,或者追捕计划结束之后,不能保证捉住 Frank ,则不能得分。
否则,用你输出的 S 和我们已知的标准答案 S∗ 相比较:
- 若 S<S∗ ,则得到 100% 的分。(原题为 120% ,此处鉴于技术性原因更改。)
- 若 S=S∗ ,则得到 100% 的分。
- 若 S∗<S≤S∗+2 ,则得到 60% 的分。
- 若 S∗+2<S≤S∗+4 ,则得到 40% 的分。
- 若 S∗+4<S≤S∗+8 ,则得到 20% 的分。
- 若 S>S∗+8,则得到 10% 的分。