A85309.「NOIP2024」树的遍历
省选/NOI-
通过率:0%
时间限制:1.00s
内存限制:512MB
题目描述
小 Q 是一个算法竞赛初学者,正在学习图论知识中的树的遍历。一棵由 n 个结点,n−1 条边构成的树,初始时所有结点都未被标记,它的遍历过程如下:
- 选择一个结点 s 作为遍历起始结点,并把该结点打上标记。
- 假设当前访问的结点为 u,寻找任意一个与 u 相邻且未标记的结点 v,将 v 作为新的当前访问结点并打上标记。之后再次进入第 2 步。
- 假设在第 2 步中,与 u 相邻的结点都已被标记,如果 u=s 则遍历过程结束,否则将 u 设为遍历 u 之前的上一个结点并再进入第 2 步。
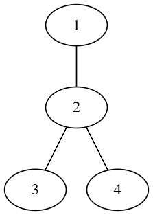
例如在下面的树中,一种可能的遍历过程如下:
- 选取 1 作为遍历起始结点,并把 1 打上标记;
- 2 与 1 相邻且未标记,将 2 设为当前访问结点,并把 2 打上标记。
- 2 与 3 相邻且未标记,将 3 设为当前访问结点,并把 3 打上标记。
- 3 所有相邻的结点都被标记,将当前访问结点设为遍历结点 3 之前的结点 2。
- 2 与 4 相邻且未标记,将 4 设为当前访问结点,并把 4 打上标记。
- 4 所有相邻的结点都被标记,将当前访问结点设为遍历结点 4 之前的结点 2。
- 2 所有相邻的结点都被标记,将当前访问结点设为遍历结点 2 之前的结点 1。
- 1 所有相邻的结点都被标记,且 1 是遍历起始结点,故遍历结束。

作为一个奇思妙想的学生,小 Q 在学习完上述知识后不满足于以结点为基础的遍历方式,于是开始研究以边为基础的遍历方式。定义两条边相邻,当且仅当它们有一个公共的结点。初始时,所有的边都未被标记。这种以边为基础的遍历过程如下:
- 选择一条边 b 作为遍历起始边,并把该边打上标记。
- 假设当前访问边为 e,寻找任意一条与 e 相邻且未标记的边 f,将 f 作为新的当前访问边并打上标记。之后再次进入第 2 步。
- 假设在第 2 步中,与 e 相邻的边都已被标记,如果 e=b 则遍历过程结束,否则将 e 设为遍历 e 之前的上一条边并再进入第 2 步。
例如在上面的树中,一种可能的遍历过程如下(定义 {u,v} 表示连接结点 u 和 v 的边):
- 选取 {1,2} 作为遍历起始边,并把 {1,2} 打上标记;
- {1,2} 与 {2,3} 相邻且未标记,将 {2,3} 设为当前访问边,并把 {2,3} 打上标记。
- {2,3} 与 {2,4} 相邻且未标记,将 {2,4} 设为当前访问边,并把 {2,4} 打上标记。
- {2,4} 所有相邻的边都被标记,将当前访问边设为遍历 {2,4} 之前的边 {2,3}。
- {2,3} 所有相邻的边都被标记,将当前访问边设为遍历 {2,3} 之前的边 {1,2}。
- {1,2} 所有相邻的边都被标记,且 {1,2} 是遍历起始边,故遍历结束。
小 Q 惊奇的发现,在这个新的树的遍历过程中,如果将每条边看作一个新的结点,将步骤 2 中的所有新结点 e 和 f 连接一条新边,就会生成一棵由 n−1 个新结点和 n−2 条新边连接成的新树。例如上述遍历过程得到的新树如下(新的结点和新边都用红色表示):

现在小 Q 在 n−1 条边中选择了 k 条关键边。小 Q 想知道,以任意一条关键边作为起始遍历边,通过上述遍历过程能够生成多少种不同的新树。这里两棵树被认为是不同的,当且仅当至少存在某一对新的结点,它们仅在其中一棵树中连有新边。
由于结果可能很大,你只需要输出其对 109+7 取模的结果即可。
输入格式
从文件 traverse.in 中读入数据。
本题有多组测试数据。
输入的第一行包含两个整数 c,T,表示测试点的编号和测试数据的组数。在样例中,c 表示该样例与测试点 c 的数据范围相同。
接下来包含 T 组数据,每组数据的格式如下:
- 第一行包含两个整数 n,k,表示树的结点数以及小 Q 选择的关键边的数量。
- 接下来 n−1 行,第 i 行包含两个整数 ui,vi,表示树上编号为 i 的边连接结点 ui 和 vi。
- 接下来一行包含 k 个整数 e1,e2,…,ek,表示小 Q 选择的关键边的编号。保证关键边的编号互不相同。
输出格式
输出到文件 traverse.out 中。
对于每组测试数据输出一行,包含一个整数,表示结果对 109+7 取模的结果。
输入输出样例
输入#1
1 1 4 1 1 2 2 3 2 4 1
输出#1
2
输入#2
7 1 5 2 1 2 1 3 2 4 2 5 1 3
输出#2
3